Успешно опробована методика «гравитационной» спектроскопии
Физики из Венского технического университета (Австрия) и Института Лауэ — Ланжевена (Франция) нашли возможность исследовать квантовые состояния частиц в гравитационном поле вполне стандартными методами резонансной спектроскопии.
Чтобы понять смысл проведённого опыта, необходимо разобраться с тем, как вообще наблюдают квантовые состояния материи в гравитационном поле. С этого и начнём.
Появление квантовых состояний в случае электромагнитного или ядерного поля уже никого не удивляет, и сведения о них можно найти в любом курсе общей физики. В заметках «КЛ» они также встречаются с завидной регулярностью; мы, к примеру, не раз упоминали линию , которая регистрируется в спектрах астрофизических источников и отвечает переходу электрона в атоме водорода со второго энергетического уровня на первый. Гравитационное поле имеет важную особенность: оно много слабее электромагнитного и ядерного, что естественным образом усложняет связанные с ним эксперименты. Вслед за этим сокращается число упоминаний о соответствующих квантовых состояниях материи, и они остаются «экзотичными».
Квантовая механика таких различий не делает. Согласно теории, частица (или любой другой материальный объект) должна находиться в связанных квантовых состояниях в достаточно глубокой потенциальной яме независимо от природы удерживающего потенциала. Это означает, что набор разрешённых энергий определяется массой частицы и формой потенциала, а вероятность нахождения частицы в некой точке пространства равна квадрату модуля её . Ну а удерживающий потенциал может быть любым (электромагнитным, сильным, слабым или гравитационным).
Увидеть гравитационные квантовые состояния можно было бы на примере частицы, которая размещена над горизонтальной поверхностью и многократно падает на неё под действием гравитации, каждый раз отражаясь вверх. Поскольку перемещение частицы по вертикальной оси подчиняется законам квантовой механики, энергия, как уже было сказано, принимала бы строго определённые значения, а волновая функция образовала бы стоячую волну, квадрат амплитуды которой давал бы вероятность обнаружения частицы на той или иной высоте.
К сожалению, выполнить именно такой — простой и наглядный — эксперимент не получится, так как подходящей методики измерений просто нет. Физики вынуждены придумывать более изощрённые способы, и один из этих вариантов им всё-таки удалось реализовать в 2001 году. Тогда квантовые состояния нейтронов в гравитационном поле Земли наблюдала группа учёных из Франции, Германии и России, опубликовавшая краткий в журнале . (Подробное опыта, составленное одним из авторов оригинальной статьи Валерием Несвижевским, можно найти в журнале «».)
Выбор в пользу нейтронов был сделан вполне осознанно. «Атомы в подобных экспериментах лучше не использовать, поскольку они подвержены влиянию короткодействующих электромагнитных сил — к примеру, сил или , — поясняет участник обоих — десятилетней давности и нового — исследований Хартмут Абеле (Hartmut Abele). — Работать с электрически нейтральными ультрахолодными нейтронами намного проще». К преимуществам нейтронов также относятся сравнительно большое собственное время жизни и малая масса, которая способствует наблюдению квантовых эффектов, увеличивая неопределённость их положения.
Описанную выше модель падения свободной частицы на отражающую поверхность физики заменили движением нейтронов из почти горизонтального пучка, падающих на зеркало под малым углом. Гравитация действует только на вертикальную составляющую движения — а значит, перемещение нейтронов вдоль вертикали и должно быть квантовано. Энергия уровней в этом случае определяется фундаментальными константами (массой нейтрона, постоянной Планка), ускорением свободного падения и порядковым номером уровня n, причём с увеличением n разница между соседними разрешёнными энергиями сокращается.

| Общая схема опыта 2001 года (иллюстрация из журнала Nature). |
Над отражающим зеркалом учёные поместили поглотитель, расположение которого можно было плавно изменять и определять с достаточной точностью. Его задача, как несложно догадаться, заключалась в том, чтобы «устранять» нейтроны, долетевшие до шероховатой поглощающей поверхности. На выходе из зазора, образованного двумя поверхностями, был установлен детектор, измерявший поток прошедших частиц.
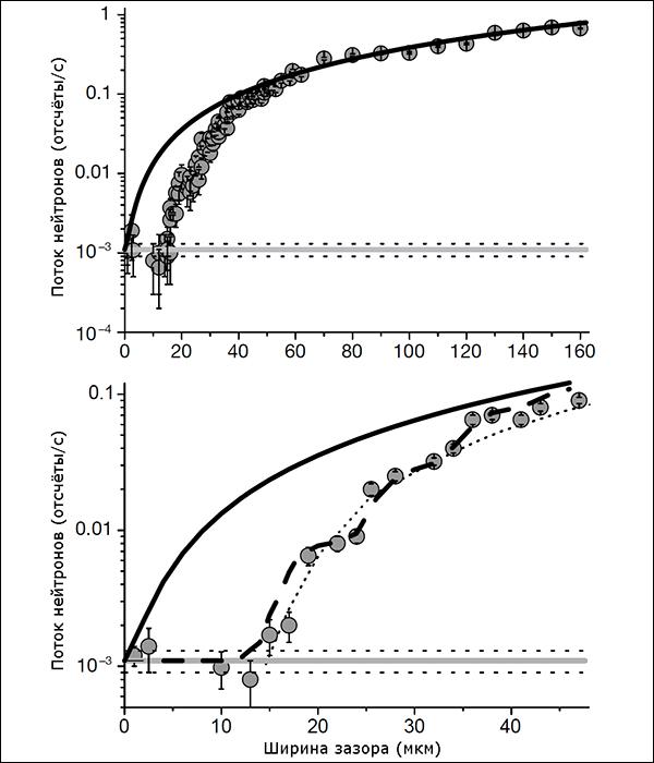
В классическом случае скорость счёта детектора, очевидно, будет плавно увеличиваться с ростом ширины зазора. Квантование существенно меняет ситуацию: при чрезвычайно малой ширине щели (уступающей пространственному «размеру» нижнего квантового состояния) частицы вообще не будут достигать детектора. По мере увеличения расстояния между поглотителем и зеркалом пропускание должно увеличиваться скачкообразно, приближаясь к классической форме с уменьшением разницы энергий между уровнями.
Результаты эксперимента, представленные на графиках ниже, хорошо согласовались с квантовомеханическими предсказаниями и отходили от классической зависимости. На этом основании авторы и сделали вывод о наблюдении квантовых состояний нейтронов в гравитационном поле.
| Результаты эксперимента 2001 года на двух графиках, соответствующих большим и малым величинам зазора, который образован зеркалом и поглотителем. Горизонтальными линиями обозначена «фоновая» скорость счёта при отсутствии ультрахолодных нейтронов. Сплошные линии отвечают расчётам в классическом случае, а штриховая — в квантовом. Пунктирная линия соответствует упрощённой модели, в которой рассматривается только нижнее квантовое состояние. Легко заметить, что щель становится прозрачной для нейтронов только тогда, когда её ширина доходит примерно до 15 мкм. (Иллюстрация из журнала Nature.) |
Сразу после обнаружения этого эффекта физики начали искать способы его применения в дальнейших исследованиях. Идея резонансной спектроскопии, которая позволяла бы регистрировать переходы между уровнями и измерять разность энергий, показалась им самой перспективной, и через десять лет после завершения оригинального опыта она была реализована.
Схема нового эксперимента практически повторяла описанную выше. Единственным дополнением стал пьезоэлектрический резонатор, отвечавший за механические колебания зеркала, которые — при правильной установке частоты — должны заставлять нейтроны переходить из одного гравитационного квантового состояния в другое.
Как оказалось, схема действительно работает, и в системе наблюдаются резонансные переходы. Скоро такую методику, как считают исследователи, можно будет использовать для проверки и тестирования закона тяготения Ньютона в микрометровом масштабе.
Полная версия отчёта опубликована в журнале .
Подготовлено по материалам .
Нет комментариев.
Только зарегистрированные пользователи могут оставлять комментарии. Войдите или зарегистрируйтесь пожалуйста.