Звездные ядра галактик
Огромные звездные системы, галактики, устроены по своим собственным законам. Эти законы легче изучать на примере других галактик, а не нашей, потому что на них мы смотрим со стороны, а не изнутри. В нашей стране только один телескоп достаточно велик и хорош, чтобы на нем можно было изучать строение других галактик. Это шестиметровый Большой азимутальный телескоп Специальной астрофизической обсерватории РАН.
У нормальных галактик можно выделить два основных структурных компонента — большие плоские звездные диски, населенные голубыми (молодыми) звездами, и центральные звездные сфероиды красноватого цвета, так называемые балджи. Внутри них часто видны крошечные яркие компактные образования — звездные ядра. Исследователи уже давно задаются вопросом, что это такое? Можно предположить, что звездное ядро — просто центральная точка звездного сфероида, а поскольку его поверхностная яркость растет к центру, то кажется, что ядро выделяется повышенной яркостью. Но это может быть и отдельное гигантское звездное скопление, подобное шаровым скоплениям гало нашей Галактики, которое в результате долгой динамической эволюции «угнездилось» в центре галактики. Вызывает также не меньший интерес, образовалось ли ядро одновременно с балджем или позднее. Чтобы ответить на интересующие исследователей вопросы, нужно было исследовать характеристики звездных ядер: их массу, вращение, возраст и т.д. И потом сравнить их со свойствами других звездных подсистем. В давнюю эпоху фотографической фотометрии, лет 30–40 назад, самую яркую подсистему галактики — ядро — изучать было практически невозможно: на снимках ядра получались всегда передержанными. По-настоящему исследованием звездных ядер галактик астрономы занялись только в последние 10-15 лет, когда появились приемники с зарядовой связью (ПЗС), способные одновременно измерять потоки света в большом динамическом диапазоне. Приборы с зарядовой связью — это, в сущности, цифровые камеры, такие же, как в цифровых фотоаппаратах; только те, что используются в астрономии для наблюдений, намного более чувствительны. ПЗС — это матрица (пластинка), состоящая из многих крошечных полупроводниковых конденсаторов. Она способна накапливать заряд и настолько чувствительна, что практически каждый фотон света, попадающий на матрицу, оставляет в своем конденсаторе лишний электрон. После какого-то времени накопления («экспозиции») матрица «считывается», и наблюдатель имеет «картинку» — сколько в каждом конденсаторе накопилось электронов, или сколько в каждый элемент матрицы упало фотонов. Такие приемники света называются «панорамными»: они дают двумерное распределение, «картинку». Фотопластинка — тоже панорамный приемник, однако у ПЗС есть перед фотопластинкой колоссальные преимущества: чувствительность и линейность. Линейность особенно важна для изучения ядер галактик: сколь бы ни было ярким ядро по сравнению с окружающими его «тусклыми» областями галактических балджей и дисков, ПЗС никогда не дает «передержки», и вычитанный сигнал всегда строго пропорционален интенсивности света. Когда в 1994 г. заработал в полную силу космический телескоп «Хаббл», позволивший получать картинки для галактик с пространственным разрешением на порядок выше, чем это было возможно с наземных телескопов, исследования ядер галактик приобрели новое качество. С помощью «Хаббла» удалось подобраться к самым центрам галактик и увидеть в деталях их структуру, а последующие наблюдения с Земли с использованием мощных спектрографов, оснащенных ПЗС, позволили определить динамические свойства и характеристики звездного населения ядер.

Галактика NGC 6782 из коллекции «Хаббла»
Околоядерные звездные диски
Что может произойти, если дисковую галактику, состоящую из звезд и газа, поместить в изолированную область пространства и оставить в покое? Динамическое моделирование показывает, что в тонком звездно-газовом диске довольно быстро начинают сами собой развиваться внутренние неустойчивости, которые приводят к глобальной перестройке структуры. В первоначально круглом, осесимметричном диске появляются вытянутые перемычки — бары, в гравитационном поле которых газовые облака сходят со своих первоначально круговых орбит вращения и начинают «стекать» к центру галактики. Вблизи него газ накапливается, уплотняется, и в нем начинаются процессы звездообразования. Типичный пример галактики с баром — NGC 6782: спиралевидный путь межзвездной среды в центр виден как темный пылевой рукав, а центральная вспышка звездообразования как компактный голубой диск в центре галактики.
Но галактики редко располагаются во Вселенной в одиночестве, в основном они собраны в большие и в малые группы. Поэтому на эволюцию структуры галактики влияют не только ее внутренние неустойчивости, но и внешние гравитационные воздействия соседей. При взаимодействии друг с другом протогалактики (состоящие из газа) приобретают индивидуальный момент вращения (при этом суммарный момент группы протогалактик остается неизменным и близким к нулю). Приобретающие таким образом момент газовые облака каждой протогалактики при неупругих столкновениях друг с другом теряют энергию и падают на плоскость с минимальной потенциальной энергией (плоскость галактики) — так образуется газовый диск. Из него в течение миллиарда лет образуется диск молодых звезд. Любые взаимодействия, возмущая большие газовые диски галактик, усиливают хаотические движения газовых облаков, которые начинают часто неупруго сталкиваться друг с другом, передавая друг другу свой момент вращения, и многие из них быстро и эффективно сваливаются в центр галактики. Газ в большом количестве скапливается в компактной центральной области галактики, где и происходит околоядерная вспышка звездообразования.
После окончания вспышки звездообразования вновь сформировавшаяся структура — околоядерный звездный диск — начинает жить своей независимой жизнью: он вращается быстрее, чем окружающий его сфероидальный балдж, и со временем стареет, становясь все краснее.
Сегодня исследования вращения и возраста звездного населения околоядерных дисков мы проводим методом панорамной спектроскопии при помощи Мультизрачкового (т.е. многоэлементного) спектрографа шестиметрового телескопа (MPFS) Специальной астрофизической обсерватории РАН. Панорамная спектроскопия — это логическое продолжение панорамных приемников: в каждом пространственном элементе мы измеряем не просто поток света, а распределение интенсивности излучения по длинам волн, т.е. полноценный спектр. Это позволяет строить поверхностные распределения — карты — скоростей вращения и средних хаотических скоростей звезд в галактиках (дисперсии скоростей) и дает возможность убедиться в том, что в центрах многих галактик действительно можно найти отдельные околоядерные звездные диски. Они выделяются компактными размерами (не больше сотни парсек) и относительно молодым средним возрастом звездного населения, (не старше 1-5 млрд. лет). Балджи, в которые погружены такие околоядерные диски, заметно старше и вращаются медленнее. Вот пример Sa-галактики NGC 3623 (член группы из трех спиральных галактик). Она была исследована с европейским панорамным спектрографом SAURON, основным преимуществом которого является большее, чем у MPFS, поле зрения. Мы проанализировали их данные и увидели в центре галактики минимум дисперсии скоростей звезд и заостренную форму изолиний скоростей вращения (см.: Afanasiev V.L., Sil’chenko O.K. Astronomy and Astrophysics, vol. 429, p. 825, 2005). Заостренная форма изолиний скоростей вращения означает, что в плоскости симметрии галактики звезды вращаются намного быстрее, чем в примыкающих областях сфероидального балджа — естественно, при близких значениях гравитационного потенциала. То есть кинематическая энергия звезд, находящихся в плоскости симметрии, сконцентрирована в упорядоченном вращении, а не в хаотических движениях, как у звезд сфероидальной составляющей. Это свидетельствует о том, что в самом центре галактики есть плоская, динамически холодная, с большим моментом вращения звездная подсистема, т.е. диск внутри балджа.

Центральная область спиральной галактики NGC 3623, исследованной нами по данным спектрографа SAURON: слева — поле скоростей вращения звезд, справа — дисперсия (хаотических) скоростей звезд
Наши соседи
В центрах самых близких нам галактик околоядерные звездные диски наблюдаются особенно хорошо и выглядят весьма экзотично.
В Туманности Андромеды (самой близкой к нам гигантской спиральной галактике, номер по каталогу Шарля Мессье — M 31), несколько лет назад «Хаббл» обнаружил в центре сразу два точечных ядра. Одно из них выглядело в видимых (зеленых) лучах более ярким, другое более слабым, однако когда построили карту скоростей вращения и дисперсии скоростей звезд, выяснилось, что динамический центр галактики — это более слабое ядро, и именно там находится сверхмассивная черная дыра. Предпринималось несколько попыток построить динамически устойчивую модель звездной системы, которая со стороны выглядела бы как два точечных ядра. Астрономическим сообществом была признана наиболее удачной модель «эксцентрического эллиптического звездного диска» Скотта Тремэйна (Scott Tremaine). Причем плоскость этого диска может быть наклонена по отношению к плоскости большого внешнего звездного диска галактики. В подобной модели околоядерный звездный диск M 31 не круглый, а эллиптический, и динамический центр, сверхмассивная черная дыра, находится в одном из фокусов эллипса.
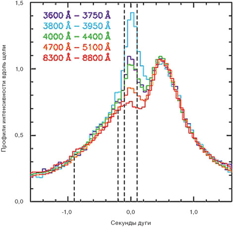
В точке звездных орбит, наиболее удаленной от динамического центра, звезды движутся медленнее всего, и там они толпятся из-за замедления своего вращения вокруг динамического центра. Такое скучивание звезд вокруг апоцентра звездных орбит околоядерного диска вызывает видимый эффект яркого точечного ядра. Речь здесь идет о том, что мы видим в зеленых и красных лучах, ведь основное звездное население околоядерного диска — относительно старые звезды, красные гиганты. Однако когда «Хаббл» снял центр Туманности Андромеды не в зеленых, а в ультрафиолетовых лучах, оказалось, что то ядро, которое было ярким в видимой области спектра, в ультрафиолете почти не просматривается, а на месте динамического центра наблюдается компактная яркая звездная структура. Исследование кинематики этой структуры показало, что она состоит из молодых звезд, вращающихся по практически круговым орбитам. Таким образом, в центре M 31 найдено сразу два околоядерных звездных диска: один эллиптический, из старых звезд, и другой круглый, из молодых звезд. Плоскости дисков совпадают, и звезды в них вращаются в одну сторону. Можно считать, что мы видим последствия двух вспышек звездообразования, одна из которых произошла давно, 5–6 млрд лет назад, а другая совсем недавно, несколько миллионов лет назад.


Околоядерный звездный диск в центре Туманности Андромеды (изображения «Хаббла» из статьи Bender et al. Astrophys. J. v.631, p.280, 2005): слева вверху — снимок в зеленых лучах (через фильтр HST/F555W), справа вверху — снимок в ультрафиолетовых лучах (через фильтр HST/F300W), оба снимка охватывают площадку размером 6,4 угловых секунды; внизу — разрезы яркости вдоль красной полоски в разных длинах волн, в зеркальном отображении относительно картинок
Центр Галактики
Центр нашей Галактики в последние годы достаточно подробно изучили немецкие астрофизики во главе с Р. Гензелем (R. Genzel) с помощью инфракрасных приемников и панорамных спектрографов восьмиметрового телескопа Южной Европейской обсерватории VLT. Обычно центр Галактики мы видим через восьмикилопарсековую толщу пыли, и потому в оптическом диапазоне спектра там ничего не наблюдается. На инфракрасной длине волны 2 мкм, где поглощение пыли минимально, сейчас, с новыми ПЗСприемниками и с адаптивной оптикой, позволяющей значительно улучшать пространственное разрешение наблюдений, астрономы наблюдают практически каждую массивную яркую звезду, для которой получают спектр, и измеряют, в частности, проекцию ее скорости на луч зрения. Сравнивая ее положение на картинке в данный момент с положением, например, 5 лет назад, определяют и компоненту скорости в картинной плоскости (рис. c). Так удается восстановить скорость и направление движения каждой звезды в трехмерном пространстве. Недавний анализ данных для нескольких десятков массивных звезд показал, что большинство звезд демонстрирует упорядоченное вращение, но проекция на луч зрения скорости вращения части из них направлена в одну сторону, а части — в противоположную. С помощью геометрических вычислений удалось отождествить каждую звезду как принадлежащую к одному из двух дисков (cм. Фридман А. Из жизни спиральных галактик // ВМН, № 1, 2005). Но, вотличие от двух околоядерных звездных дисков Туманности Андромеды, два диска Галактики имеют несовпадающие плоскости, сильно наклоненные одна к другой, практически взаимно полярные. Возраст звезд в них оказался примерно одинаковым: большинство образовалось во вспышке (или двух вспышках) звездообразования примерно 6 млн. лет назад.

(a) Самый центр нашей Галактики, как он виден на длине волны 2 микрона; стрелками отмечено положение радиоисточника Стрелец-А, который считается сверхмассивной черной дырой и является динамическим центром всех околоядерных звездных систем
(b) Измерения момента вращения индивидуальных звезд этой центральной области Галактики из статьи T. Paumard et al. (Astrophys. J. Vol. 643, p. 1011, 2006); видно, что звезды в основном распадаются на два коллектива — на вращающиеся по часовой и против часовой стрелки в проекции на небо
(c) Орбиты отдельных звезд центра Галактики, восстановленные в трехмерном пространстве за несколько лет наблюдений по данным о скоростях (справа) и положениях на небе (слева) — из статьи F. Eisenhauer et al. (Astrophys. J. Vol. 628, p. 246, 2005)

Возраст звездных ядер линзовидных галактик
Линзовидные галактики — это особый вид дисковых галактик, отличающийся тем, что в их больших дисках не видно спиралей и нет газа. Такая особенность структуры объясняется тем, что их глобальные звездные диски довольно «горячи» динамически. Хаотические скорости звезд в них больше, чем это бывает обычно в дисках спиральных галактик. Сейчас астрономы думают, что линзовидные галактики образуются из обычных спиральных, на которые вдруг что-то подействовало извне: или приливное возмущение в результате сближения с соседней галактикой, или даже падение малого спутника. Помочь удалению «лишнего» газа из глобального диска спиральной галактики может и обжатие холодного газа диска горячей окружающей средой, которой много в скоплениях и группах галактик. Все эти события приводят к концентрации собственного газа галактики в ее ядре и к последующей вспышке звездообразования в центре. Это означает, что в центрах линзовидных галактик мы должны найти компактные околоядерные звездные диски, возраст которых меньше возраста окружающего их сфероида, а содержание тяжелых химических элементов больше, потому что дополнительное население, представленное молодыми массивными звездами, должно в процессе эволюции породить и дополнительное количество тяжелых металлов. С большой вероятностью образование околоядерного звездного диска имело прямое отношение к глобальному событию превращения спиральной галактики в линзовидную, т.е. два события могли происходить квазиодновременно. Установив средний возраст околоядерных звездных дисков в близких линзовидных галактиках, можно определить эпоху, когда происходило массовое превращение спиральных галактик в линзовидные. Судя по морфологическому составу далеких скоплений галактик на красных смещениях 0,4–0,8, исследователи (G. Fasano and others, Astrophys. J. Vol. 542, p. 673, 2000) предположили, что эпоха образования линзовидных галактик из спиральных в скоплениях должна была начаться примерно 5 млрд. лет назад.
Для исследования среднего возраста звезд в центрах близких линзовидных галактик был использован особый метод анализа данных панорамной спектроскопии. В фокусе Мультизрачкового спектрографа, с которым мы наблюдаем на шестиметровом телескопе Специальной астрофизической обсерватории РАН, пространственные элементы упакованы очень плотно, что позволяет получать непрерывные распределения («карты») спектрофотометрических характеристик звездной составляющей в исследуемой области, в частности, распределения по галактике интенсивности континуума и эквивалентных ширин спектральных линий (см. карту вверху). По глубине различных линий поглощения, принадлежащих металлам и водороду, можно вычислить средний возраст и среднюю металличность звездного населения. С помощью таких измерений мы обнаружили молодые, обогащенные тяжелыми элементами компактные звездные диски в центре более старых малометалличных звездных сфероидов. В половине всех исследованных случаев мы видим в центрах галактик вытянутые звездные структуры, чьи спектры выделяются особо глубокими линиями поглощения металлов — магния и железа; мы назвали эти структуры «химически выделенными ядрами». На рисунке выше приведены два примера линзовидных галактик, в которых нами были обнаружены «химически выделенные ядра».
В половине всех исследованных галактик в центре оказались вытянутые звездные структуры, названные «химически выделенными ядрами»
За 10 лет наблюдений нами были составлены подробные карты спектральных характеристик для центральных областей более чем 80 близких линзовидных галактик. Окружение у исследованных галактик — самое разное: здесь и галактики из больших скоплений, и галактики в малых группах, как центральные, так и периферийные их члены, и так называемые «галактики поля», рядом с которыми ничего не видно. Интересно было сравнить, чем отличаются свойства околоядерных звездных дисков в линзовидных галактиках разных типов окружения. Дело в том, что космологи, «прописавшие» галактикам иерархическую схему эволюции, предсказывают более быструю и раннюю эволюцию тем галактикам, которые находятся в плотном окружении. Считается, что галактики сильнее всего «толпятся» внутри самых массивных темных гало, которые потому и самые массивные, что раньше всех начали собирать на себя сначала равномерно распределенную в пространстве темную материю. Если верить космологам, зависимость возраста галактик от плотности окружения должна быть монотонной: самые старые галактики должны находиться в скоплениях, менее старые — в небольших группах, и самые молодые — это одинокие галактики поля. С другой стороны, если мы считаем, что эволюцией галактик управляет не строгая иерархическая последовательность слияний, а динамические эффекты, связанные со случайными или систематическими орбитальными сближениями соседних галактик, такой монотонной зависимости возраста от типа окружения не будет даже внутри одной группы. Галактика в центре группы, более подверженная динамическому влиянию соседей, будет находиться на более продвинутой стадии эволюции, чем галактики на периферии той же самой группы. Более того, поскольку в группах движения галактик относительно друг друга не такие быстрые, как в скоплениях (из-за меньшей массы первых по сравнению с массой вторых), условия для перестройки структуры под действием гравитационного влияния соседей у центральных галактик групп даже лучше, чем у галактик в скоплениях, и они могут оказаться самыми сильно проэволюционировавшими (старыми).
Нами было проведено сравнение характерной длительности вспышек звездообразования в центрах линзовидных галактик в разных типах окружения. И оказалось, что в центральных галактиках групп, так же как и в галактиках скоплений, вспышки звездообразования, породившие околоядерные звездные диски, были короткими и очень мощными, а в периферийных галактиках групп и в поле они были более протяженными и не такими мощными. Интересно, что разница между центральными и периферийными членами групп оказалась весьма значимой. Была специально рассмотрена подвыборка, составленная так, чтобы средние массы центральных и периферийных галактик были одинаковы, и разница оказалась заметной и для этой подвыборки. Значит, дело не в массе галактики и не в массе темного гало, в которое погружены или одна галактика, или их коллектив: на эволюцию сильнее всего влияет положение галактики относительно соседей, т.е. чисто динамические воздействия друг на друга. Мы объединили центральные галактики групп и галактики скоплений в выборку «галактик плотного окружения», а периферийные члены групп и галактики поля — в выборку «галактик разреженного окружения».
Сравнение средних возрастов звезд подтвердило то, что мы уже и так подозревали: ядра оказались значительно моложе, чем звездные сфероиды (балджи) у галактик всех типов окружений. Однако масса темного гало также играет определенную роль: и ядра, и балджи галактик в разреженном окружении моложе, чем их собратья в плотном окружении. Может быть, это связано с тем, что образование линзовидных галактик в плотном окружении происходило значительно раньше, чем в разреженном, а периферийные галактики групп «аккрецировали», т.е. вошли в состав коллектива лишь недавно. Или же «загадка возраста» может быть связана с длительностью околоядерных вспышек звездообразования. Начавшись у всех галактик примерно в одно и то же время, в галактиках плотного окружения они закончились быстро, а в галактиках разреженного окружения продолжались несколько миллиардов лет, что и определило меньший средний возраст звезд в центрах последних по сравнению с первыми. Так или иначе, нами были найдены признаки вторичных вспышек звездообразования в ядрах линзовидных галактик и установлена зависимость характера протекания вспышек от динамических условий, в которых находятся галактики.

Карты центральных областей размером 16”x16" (что соответствует нескольким сотням парсек) для двух линзовидных галактик NGC 1161 и NGC 4179. Красным цветом выделены области максимальной ширины и глубины линий поглощения магния и железа. Положения центров яркости отмечены крестиками. Скорее всего, вытянутые звездные структуры представляют собой околоядерные диски, образовавшиеся во вторичной вспышке звездообразования
Средние возрасты звездного населения
Рассмотрим отдельно галактики с «химически выделенными ядрами» — это галактики, где сразу по нескольким признакам можно сказать, что видны последствия околоядерной вспышки звездообразования в центре. Средний возраст их ядер оказался моложе, чем возраст 5 млрд. лет, оцененный по всей выборке: пик их формирования был всего лишь 3 млрд. лет назад. А таких галактик с «химически выделенными ядрами» у нас 47%! Таким образом, в половине всей выборки близких линзовидных галактик мы видим в центре молодые, богатые металлами околоядерные звездные диски. Следовательно, звездные ядра галактик представляют собой обособленные динамически и эволюционно структуры. Это не старые шаровые скопления, упавшие в центр галактики из-за динамического трения, а последствия относительно недавней вспышки звездообразования «на месте», т.е. в центре галактики. И вероятно в линзовидных галактиках эти центральные бурные события связаны с глобальным изменением всей структуры — превращением спиральной галактики в линзовидную.
Есть особая категория линзовидных галактик с внутренними газовыми полярными кольцами. Откуда в центрах галактик может появиться газ с ортогональным моментом вращения, вращающийся в плоскости, полярной по отношению к плоскости околоядерного звездного диска, пока точно не известно. Если распределение плотности звезд и гравитационного потенциала имеет трехосную форму, то вращение газа будет устойчивым в полярной плоскости, перпендикулярной самой большой оси эллипсоида.
Если же газ вращается на своих орбитах устойчиво — он не упадет в центр и не станет «пищей» для вспышки звездообразования. Похоже, мы видим последствия этой устойчивости в распределении возрастов звездных ядер галактик с внутренними полярными кольцами. Такое распределение показывает два пика, один из которых приходится на 3 млрд. лет, а второй на 15 млрд. лет или более. Первый пик составляют галактики с внутренними газовыми полярными кольцами, одновременно обладающие химически выделенными звездными ядрами, средний возраст которых такой же, как и у всех других галактик с химически выделенными ядрами. Если вспышка звездообразования произошла, значит, ничто ей не смогло помешать. Звездное население в центрах всех остальных галактик с внутренними полярными кольцами, тех, что без химически выделенных ядер, столь же старое, как Вселенная. Возможно, это происходит оттого, что в них весь падающий в центр газ скапливается на внутренних устойчивых полярных орбитах и не может попасть в центр галактики, чтобы накопиться там в количестве, достаточном для «зажигания» звездообразования. Поэтому и живут эти галактики 15 млрд. лет без всякого омоложения, со старым звездным населением в ядре.
Исследование центральных областей линзовидных галактик на шестиметровом телескопе выполнено при поддержке грантов РФФИ N 01-02-16767 и N 04-02-16087

Распределение абсолютных средних возрастов звездного населения в ядрах 60 исследованных линзовидных галактик. Средний возраст ядер в галактиках с химически выделенными ядрами (коричневая линия) составляет примерно 3 млрд. лет.
В распределении возрастов звездных ядер галактик с внутренними газовыми полярными кольцами (пунктирная линия) наблюдается два пика. Первый из них (3 млрд. лет) характерен для галактик с внутренними газовыми полярными кольцами, обладающих химически выделенными звездными ядрами; второй (15 млрд. лет и более) — для галактик без химически выделенных ядер
ОБ АВТОРЕ
Ольга Касьяновна Сильченко — доктор физико-математических наук, окончила астрономическое отделение физического факультета МГУ в 1981 г. и аспирантуру кафедры астрофизики и звездной астрономии физического факультета МГУ в 1984 г. С 1984 г. по настоящее время работает в Государственном астрономическом институте им. Штернберга МГУ, зав. отделом эмиссионных звезд и галактик ГАИШ МГУ. В 1988-1989 гг. была научным визитером в Специальной астрофизической обсерватории АН СССР. Лауреат Шуваловской премии МГУ 1-й степени (1996), Государственной премии РФ (2003).
В мире науки, август 2007
Нет комментариев.
Только зарегистрированные пользователи могут оставлять комментарии. Войдите или зарегистрируйтесь пожалуйста.